| 일 | 월 | 화 | 수 | 목 | 금 | 토 |
|---|---|---|---|---|---|---|
| 1 | 2 | 3 | 4 | 5 | 6 | 7 |
| 8 | 9 | 10 | 11 | 12 | 13 | 14 |
| 15 | 16 | 17 | 18 | 19 | 20 | 21 |
| 22 | 23 | 24 | 25 | 26 | 27 | 28 |
| 29 | 30 | 31 |
- 개인 의료비 예측
- 포스코 아카데미
- Brigthics
- 추천시스템
- 직원 이직여부
- 데이터분석
- Brightics를 이용한 분석
- 영상제작기
- 삼성SDS Brigthics
- 모델링
- 직원 이직률
- 혼공머신러닝딥러닝
- Brigthics를 이용한 분석
- 팀 분석
- 혼공머신
- 삼성 SDS
- 데이터 분석
- 브라이틱스 서포터즈
- 혼공
- 브라이틱스
- Brightics Studio
- 삼성 SDS Brigthics
- 삼성SDS Brightics
- Brightics
- 노코드AI
- 포스코 청년
- 혼공학습단
- Brigthics Studio
- 삼성SDS
- 캐글
- Today
- Total
데이터사이언스 기록기📚
[혼공 10기/혼공 머신러닝+딥러닝] 2주차_Ch.3 회귀 알고리즘과 모델 규제 본문
📌 Ch3. 회귀 알고리즘과 모델 규제
🖊️ Ch.3-1) k-최근접 이웃 회귀
✔️k-최근접 이웃 회귀
- 분류와 회귀
- 분류 : 여러개의 클래스 중, 하나로 분류하는 문제
- 회귀 : 다양한 샘플 중, 숫자로 예측하는 문제
- k-최근접 이웃
- k-최근접 이웃 분류 : 예측하려는 샘플 중, 가장 가까운 k개 선택 → 가장 많은 클래스를 예측 샘플의 클래스로 지정
- k-최근접 이웃 회귀 : 예측하려는 샘플 중, 가장 가까운 k개 선택 → k개의 평균울 예측 샘플의 값으로 지정
✔️실습 - 농어 무게 예측하기
1) 데이터 생성 및 형태 확인

- 농어는 길이가 길면, 무게가 무거움

2) Train, Test 나누기

- Train set을 2차원으로 바꾸기(2차원 배열이어야 훈련시킬 수 있음
- reshape() : 바꾸려는 배열의 크기 지정하여 바꿀 수 있는 함수

3) 회귀 모델 훈련 및 점수확인

- 결정계수(R^2) : 회귀모델 평가 점수지표. 0~1범위를 가지며 1에 가까울 수록 타깃에 가까운 것.

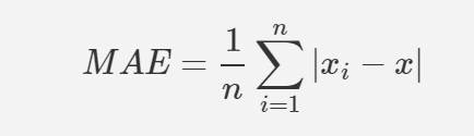
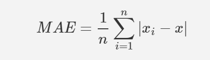
- MAE(mean_absolute_error) : (실제값 - 예측값)의 절댓값 오차 평균


✔️과대적합, 과소적합
- 과대적합(overfitting) : Train set 평가 점수 > Test set 평가 점수
- 발생하는 이유 : Train set에만 잘 맞는 모델일 경우
- 해결방법 : 모델을 단순하게 만들기
- 과소적합(underfitting) : Train set 평가 점수 < Test set 평가 점수, 둘 다 낮은 경우
- 발생하는 이유 : Test set 개수가 적은 경우
- 해결방법 : 모델을 복잡하게 만들기
- 실습에 적용하기
- 과소적합 해결 방법 → 모델을 복잡하게 만들기(이웃의 개수를 줄여, 이웃에 민감하게 만들기)

✔️확인문제 2번
- n이 커질 수록, 곡선의 형태가 직선으로 바뀌고 있다




🖊️ Ch.3-2) 선형 회귀
✔️선형 회귀
- 선형 회귀 : x,y의 선형관계를 분석하는 모델
- 단순 선형회귀 방정식 : Y = aX + b

- a,b값 추출

✔️다항 회귀
- 다항 회귀 : 다항식을 활용한 선형 회귀
- 다항 선형회귀 방정식 : Y = a1X1 + a2X2 + b

🖊️ Ch.3-3) 특성 공학과 규제
✔️특성 공학 및 PolynomialFeatures
- 특성 공학 : 기존의 특성을 사용하여 새로운 특성을 뽑아내는 것(새로운 변수를 만드는 것)
- 사이킷런 PolynomialFeatures
- 각 특성을 제곱한 항, 특성끼리 곱한 항,1을 모두 추가하여 새로 만드는 특성
- include_bias = False 조건이 들어가면 절편이었던 1이 제거
✔️PolynomialFeatures 실습
1) 데이터 불러오기 및 데이터 분할


2) PolynomialFeatures을 이용하여 특성 늘리기

3) 모델 훈련

- 특성 늘려서 모델 훈련시키기(특성을 늘리면 과대적합 생길 수 있음)

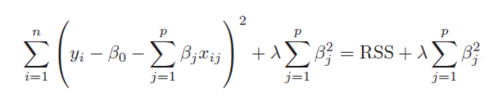
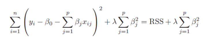
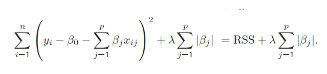
✔️규제
- 규제 : 머신러닝이 Train set을 과도하게 학습하지 못하도록 막는 것
- Ridge(L2) : 계수를 제곱한 값 기준으로 규제

- Lasso(L1) : 절댓값 기준으로 규제

- 규제 모델 매개변수 alpha
- 규제의 강도를 조절할 수 있음
- alpha ↑ : 계수 값 줄임, 과소적합으로 유도
- alpha ↓ : 선형 회귀와 유사, 과대적합 가능성 큼
✔️Ridge 규제 실습
1) 데이터 정규화

2) Ridge를 이용한 훈련

3) 적절한 alpha 값 찾기


4) Ridge 최종 모델 훈련

✔️Lasso 규제 실습
1) Lasso 이용한 훈련

2) 알맞은 alpha 값 찾기


3) Lasso 최종모델 훈련

'대외활동 > 혼공10기 - 머신러닝, 딥러닝' 카테고리의 다른 글
| [혼공10기/혼공 머신러닝 + 딥러닝] 5주차_Ch.6 비지도 학습 (0) | 2023.08.08 |
|---|---|
| [혼공 10기/혼공 머신러닝+딥러닝] 4주차_Ch.5 트리 알고리즘 (0) | 2023.08.01 |
| [혼공 10기/혼공 머신러닝+딥러닝] 3주차_Ch.4 다양한 분류 알고리즘 (0) | 2023.07.23 |
| [혼공 10기/혼공 머신러닝+딥러닝] 1주차_Ch.2 데이터 다루기 (0) | 2023.07.07 |
| [혼공 10기/혼공 머신러닝+딥러닝] 1주차_Ch.1 나의 첫 머신러닝 (0) | 2023.07.03 |